色情聊天

欢迎访问色情聊天-性爱聊天室-黄色聊天软件 !

学术动态

学术动态

刘俊秋教授团队在Chemical Engineering Journal上发表关于高效超分子纳米酶用于葡萄糖检测的研究成果

来源 : 色情聊天-性爱聊天室-黄色聊天软件 色情聊天-性爱聊天室-黄色聊天软件      作者 : 材化学院     时间 : 2021-10-09

        近日,色情聊天刘俊秋教授团队开展的基于超分子双亲物共组装方式构建高效纳米酶材料取得新进展。相关研究结果以“Giant nanotubes equipped with horseradish peroxidase active sites: a powerful nanozyme co-assembled from supramolecular amphiphiles for glucose detection”为题发表在《Chemical Engineering Journal》(2022, 429, 132529; IF: 13.273)。

作为一种重要的过氧化物酶,辣根过氧化物酶(HRP)是一种含有亚铁血红素辅因子的天然酶,用于催化过氧化物的氧化。天然的HRP活性位点是组氨酸-血红素-组氨酸的三元复合物,其在催化过程中起着重要作用。在催化系统中,组氨酸不仅通过与血红素配位稳定蛋白质口袋中的辅助因子,并且还为过氧化氢(H2O2)提供氢键桥,增加其亲和力。鉴于在生物医学中的重要作用,HRP已广泛应用于污染物降解、能量转移和免疫组化等各个方面。然而,天然HRP的易变性、回收率低、成本高和制备困难等特性,抑制了其的进一步应用。

纳米酶是一种新兴的蕴含酶催化特性的纳米材料,在克服天然HRP的局限性的方面具有显著潜力。在高催化活性的类过氧化物纳米酶构建中,除了对天然酶活性中心的模拟以外,选择适当的结构支架和模拟天然过氧化物酶的微环境至关重要。近年来,基于主客体超分子双亲物的多级自组装的超分子结构支架越来越受到青睐。作者认为通过在超分子结构支架中引入酶的活性位点以及设计酶识别位点,可以成功构建高效的超分子纳米酶。

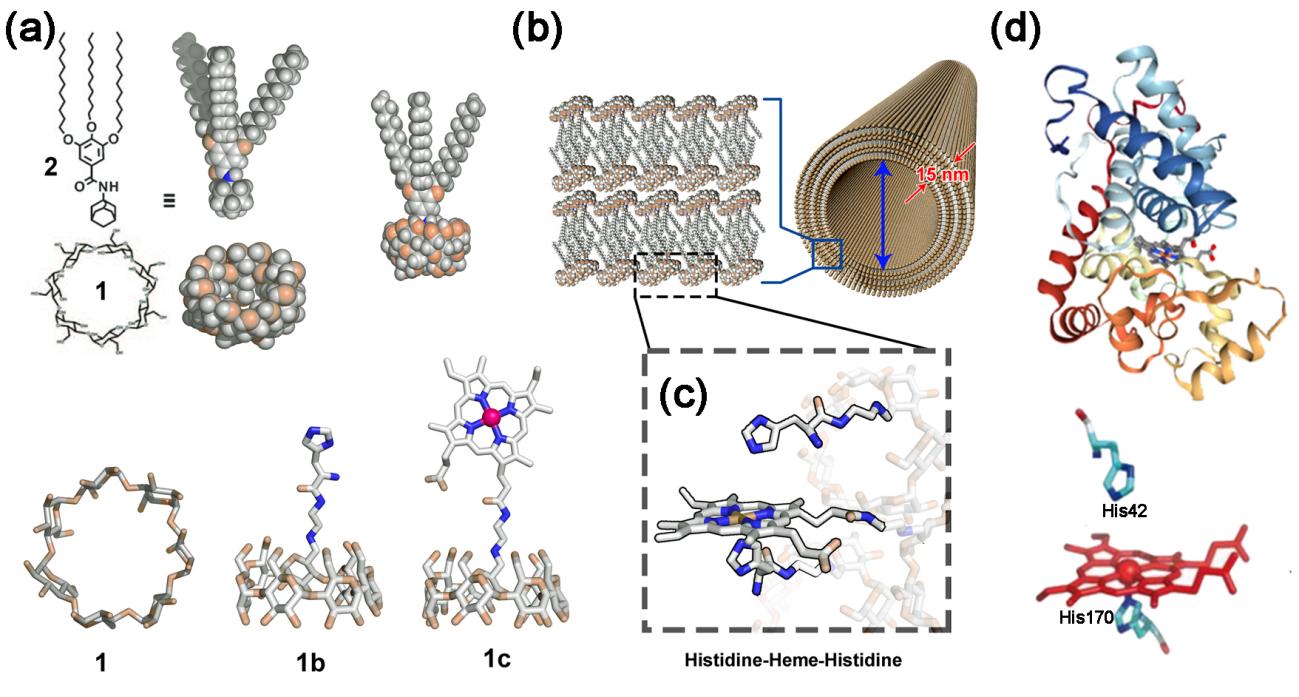
受到天然HRP结构的启发,在此,色情聊天-性爱聊天室-黄色聊天软件 材料化学与化工学院的刘俊秋团队提出了将天然HRP活性位点(组氨酸-血红素-组氨酸)负载到一个巨大的超分子纳米管来构建类过氧化物纳米酶的新策略(图1)。如图1a,b,c所示,具有HRP活性位点的超分子主体分子血红素-β-环糊精(Heme-CD)和组氨酸-β-环糊精(His-CD)首先与超分子客体分子金刚烷醇-1-3,4,5-三(十二氧基)苯并酰胺(Ad-TDB)通过主客体相互作用形成超分子双亲物,超分子双亲物随后在水中自组装形成超分子纳米管。这种具有组氨酸-血红素-组氨酸三元复合体的超分子管状纳米酶被赋予了类似于天然HRP的催化微环境。首先,一个组氨酸与血红素配位,具有稳定血红素和防止血红素自我聚集的作用,增强了血红素的催化活性。其次,另一个组氨酸位于血红素附近,作为H2O2的识别位点,通过形成氢键桥提高H2O2对血红素的亲和力,从而进一步提高纳米酶的活性。

刘俊秋2

图1 HRP纳米酶和天然HRP的结构和活性位点。

研究结果显示,溶液中超分子组装体的流体水和直径大约为200 nm。光学显微镜、扫描电子显微镜(SEM)及低倍率透射电子显微镜(TEM)表明组装形成的超双亲HRP纳米酶是棒状结构(图2a,b,c)。高倍率TEM表明该聚集体具有管状的中空结构,是超两亲分子组装形成的一种典型的管状结构。其纳米管的内径为 391.9 nm,壁厚约为 14.3 nm(图2d)。纳米管处的能量色散X射线光谱(EDX)表明该纳米管上具有Fe元素,这说明此纳米管是由血红素修饰的环糊精和其他环糊精衍生物共组装形成的(图2e)。XRD 结果显示双分子层的厚度约为3.8 nm。TEM 表明纳米管的壁厚约为 14.3 nm,这说明纳米管壁由大约4层的超双亲分子组成(图2f)。

刘俊秋3

图2 纳米酶的结构表征。

   催化分析表明,由His-CD和Heme-CD共同组装形成的纳米酶比由Heme-CD组装形成的纳米酶表现出更高的反应速率,这表明组氨酸有助于提高纳米酶的活性。随后,作者在His-CD/Heme-CD的摩尔比0:1到20:1(定义为Nanozymehis0到Nanozymehis20时制备了纳米酶。结果显示,当His-CD/Hemin-CD的比例增加时,纳米酶的米氏常数(Km下降,其中Nanozymehis20的Km可低至2.16 mM,甚至小于天然HRP的Km(3.70 mM)(图3)。此外,Nanozymehis20显示出纳米酶每一个单血红素最高的二阶速率常数(kcat[Heme]/Km572.2 s-1 M-1和相对应的一阶速率常数(kcat[Heme]1.24 s-1

刘俊秋4

图3 纳米酶活性测定与共组装纳米酶表征。

   当与葡萄糖氧化酶(GOx)联立使用,葡萄糖氧化酶可利用氧气把葡萄糖氧化为葡萄糖酸并生成H2O2,过氧化氢继而被超双亲HRP纳米酶利用催化3, 3, 5, 5 -四甲基联苯胺(TMB)生成蓝色氧化产物,其显色程度与葡萄糖浓度大小有关。因此,我们可以利用超双亲HRP纳米酶构建葡萄糖检测体系,并可以此作为糖尿病的诊断指标。葡萄糖波谱检测系统标准曲线表明葡萄糖的线性范围为0.005-0.32 mM,检测限(LOD)低至1.17μM。葡萄糖试纸检测系统标准曲线表明葡萄糖的线性范围分别为0.02 -0.08 mM和0.08-1.25 mM(图4)。健康人和糖尿病患者的血糖浓度的正常范围分别约为3-8 mmol L-1和9-40 mmol L-1。因此,这些试纸适用于稀释后血清中葡萄糖的检测。

刘俊秋5

4 纳米酶试纸检测系统检测葡萄糖。

总之,这篇文章通过组氨酸/血红素比例调节的CD衍生物的共同组装,在超分子双亲纳米管的表面创造了一个类似HRP的活性位点(组氨酸-血红素-组氨酸),设计并构建了一种类过氧化物纳米酶。所构建的Nanozymehis20不仅比天然HRP有更低的Km,从而提供比天然HRP更好的与底物的结合能力,而且还显示出每一个单血红素的kcat[Heme]/Km高达572.2 s-1 M-1。此外,当与GOx结合使用时,过氧化物纳米酶可用于光谱检测系统和试纸检测系统中葡萄糖的特异性检测,揭示了其在未来诊断糖尿病方面的应用前景。

色情聊天博士后刘盛达为论文的第一作者,学院青年教师孙鸿程博士和刘俊秋教授为论文通讯联系人,色情聊天-性爱聊天室-黄色聊天软件 为第一通讯单位。该课题得到了科技部重点研发计划和自然科学基金委项目的资助与支持。

论文链接://doi.org/10.1016/j.cej.2021.132592








版权所有 © 色情聊天-性爱聊天室-黄色聊天软件

地址:中国·杭州·余杭塘路2318号 色情聊天-性爱聊天室-黄色聊天软件 勤园16、17、18、22号楼

联系电话:0571-28867909

邮箱:chxyzhb@seqinglt.com

邮编:311121

  • 扫码关注微信公众号

版权所有 © 色情聊天-性爱聊天室-黄色聊天软件   浙ICP备11056902号-1

地址:中国·杭州·余杭塘路2318号
邮编:311121
Copyright © 2025 色情聊天-性爱聊天室-黄色聊天软件
浙ICP备11056902号-1